Barisan dan Deret (Aritmetika & Geometri) Beserta Contoh Soal
Artikel ini membahas tentang barisan dan deret aritmetika serta barisan dan deret geometri. Ada beberapa rumus yang dipelajari dalam bahasan materi ini antara lain rumus suku ke-n, rumus suku tengah, rumus sisipan dan rumus jumlah n suku pertama. Agar lebih jelas penggunaannya, turut disertai contoh soal beserta cara penyelesaiannya.
Barisan dan deret merupakan salah satu materi matematika yang dipelajari dibangku sekolah SMA. Selain itu, materi ini juga termasuk bagian materi kuliah Aljabar Elementer. Sebelum mempelajari materi pokoknya, mari memahami istilah pola bilangan, barisan bilangan dan deret terlebih dahulu.
Pola Bilangan
Apa itu pola bilangan?? Pola bilangan adalah bilangan-bilangan yang disusun membentuk aturan tertentu. Misalnya pada kalender terdapat susunan angka-angka seperti mendatar, menurun, ataupun secara diagonal (miring).
Berikut contoh-contoh pola bilangan.
1. Pola bilangan ganjil
2. Pola bilangan genap
3. Pola bilangan segitiga
4. Pola bilangan persegi panjang
5. Segitiga Pascal
Barisan Bilangan
Barisan bilangan adalah susunan atau urutan bilangan yang dibentuk menurut pola atau aturan tertentu. Bilangan pada suatu barisan disebut suku. Penulisan barisan yaitu $U_{1},\ U_{2},\ U_{3},\ ...,\ U_{n}$.
$U_{1}$ = suku ke-1, $U_{2}$ = suku ke-2, $U_{3}$ = suku ke-3, $U_{n}$ = suku ke-n.
Perhatikan contoh barisan bilangan berikut.
Nama suatu barisan biasanya dicirikan oleh bilangan-bilangan yang membentuk barisan itu. Misalnya:
- Barisan bilangan asli : 1, 2, 3, 4, 5, ...
- Barisan bilangan prima : 2, 3, 5, 7, 11, ...
- Barisan bilangan cacah : 0, 1, 2, 3, 4, 5, 6, ...
- Barisan bilangan bulat : ..., -3, -2, -1, 0, 1, 2, 3, ...
Deret
Deret adalah penjumlahan berurut dari suku-suku barisan bilangan. Penulisan deret yaitu $U_{1}\ +\ U_{2}\ +\ U_{3}\ +\ U_{4}\ +\ ...\ +\ U_{n}$
Contoh deret.
Setelah memahami istilah di atas, sekarang saatnya kita masuk ke materi pembahasannya, kita mulai dulu dari barisan dan deret aritmetika.
Barisan Aritmetika
Saat mengendarai motor, pernahkah kalian mengamati speedometer pada motor tersebut? Pada speedometer terdapat angka-angka 0, 20, 40, 60, 80, 100, dan 120 yang menunjukkan kecepatan motor saat kalian mengendarainya. Angka-angka ini berurutan mulai dari terkecil hingga terbesar dengan pola tertentu sehingga membentuk sebuah barisan aritmetika.
Kita akan membahas barisan yang dibentuk secara khusus. Misalkan barisan itu terbentuk dari bilangan a dan b yang real. Adapun bentuknya adalah $a,\ a+b,\ a+2b,\ a+3b,\ ...$
Barisan itu dibentuk dengan cara menambahkan bilangan b pada suku sebelumnya.
Perhatikan barisan bilangan berikut.
- (i) 3, 6, 9, 12, 15, 18, ...
- (ii) 2, 4, 6, 8, 10, 12, ...
- (iii) 1, -2, -5, -8, -11, ...
Barisan (i) diperoleh dengan menambah angka 3 pada suku sebelumnya dengan a = 3 dan b = 3.
Barisan (ii) diperoleh dengan menambah angka 2 pada suku sebelumnya dengan a = 2 dan b = 2.
Barisan (iii) diperoleh dengan menambah angka -3 pada suku sebelumnya dengan a = 1 dan b = -3.
Pada barisan (i), (ii) dan (iii) ini beda (selisih) dua suku yang berurutan tetap.
Jadi, barisan aritmetika adalah barisan yang selisih antar dua suku berurutannya tetap atau sama. Selisih antar dua suku yang berurutan disebut beda dirumuskan dengan:
Suku pertama suatu barisan dinotasikan dengan a. Bentuk umum barisan aritmetika yaitu $a,\ a + b,\ a + 2b,\ a + 3b,\ . . .$
Rumus suku ke-n
Perhatikan kembali bentuk umum barisan aritmetika:
$a,\ a + b,\ a + 2b,\ a + 3b,\ . . .$
Jadi,
Suku ke-1 = $U_{1}$ = a = a + (1 – 1) b
Suku ke-2 = $U_{2}$ = a + b = a + (2 – 1) b
Suku ke-3 = $U_{3}$ = a + 2b = a + (3 – 1) b
Suku ke-4 = $U_{4}$ = a + 3b = a + (4 – 1) b
Suku ke-5 = $U_{5}$ = a + 4b = a + (5 – 1) b
.
.
dan seterusnya
Dengan pola seperti di atas, maka dapat diperoleh rumus suku ke-n barisan aritmetika yaitu:
Suku Tengah
Suku tengah suatu barisan aritmetika adalah suku barisan yang letaknya di tengah-tengah jika banyak sukunya ganjil. Misal diberikan barisan aritmetika dengan suku tengah $U_{k}$, sehingga banyaknya suku $\left ( 2k \ -\ 1 \right )$, maka barisan itu dapat dituliskan seperti ini: $a,\ ...,\ U_{k},\ ...,\ U_{2k-1}$
Berdasarkan rumus ke-n barisan aritmetika, diperoleh:
$U_{k}\ =\ a\ +\ (k\ -\ 1)\ b\\ U_{k}\ =\ \frac{1}{2}\left [ 2a\ +\ 2(k\ -\ 1)\ b \right ]\\ U_{k}\ =\ \frac{1}{2}\left [ a\ +\ a\ +\ (2k\ -\ 2)\ b \right ]$
Oleh karena,
$a\ =\ U_{1}$, dan
$a\ +\ (2k\ -\ 2)\ b\ =\ U_{2k-1}$,
maka:
$U_{k}\ =\ \frac{1}{2}\left ( U_{1}\ +\ U_{2k-1} \right )$
Jadi, suku tengah barisan aritmetika adalah:
Apabila belum diketahui banyak sukunya, yang diketahui hanya suku terakhir $U_{n}$ maka suku tengah barisan aritmetika ditentukan dengan:
Sisipan
Misal diberikan dua bilangan x dan y (x ≠ y), kemudian di antara kedua bilangan tersebut disisipkan k bilangan sehingga membentuk barisan aritmetika.
Maka beda dari barisan aritmetika tersebut dapat ditentukan sebagai berikut:
$y\ -\ \left ( x\ +\ kb \right )\ =\ b\\ y\ -\ x\ -\ kb\ =\ b\\ y\ -\ x\ =\ b\ +\ kb\\kb\ +\ b\ =\ y\ -\ x\\ \left ( k\ +\ 1 \right )b\ =\ y\ -\ x\\ b\ =\ \frac{y\ -\ x}{k\ +\ 1}$
Jadi, beda barisan aritmetika yang terbentuk adalah:
Contoh Soal
1. Diketahui barisan aritmetika 21, 17, 13, . . ., -11. Banyak suku barisan ganjil.
a. Tentukan suku tengahnya.
b. Suku ke berapa suku tengahnya?
Jawab
a. Suku tengah
Oleh karena $U_{1}\ =\ 21$ dan $U_{n}\ =\ -11$, maka
$U_{k}\ =\ \frac{1}{2}\left ( U_{1}\ +\ U_{n} \right )\\ U_{k}\ =\ \frac{1}{2}\left \{ 21\ +\ \left ( -11 \right ) \right \}\\ U_{k}\ =\ \frac{1}{2}\left ( 10 \right )\\ U_{k}\ =\ 5$
Jadi, suku tengahnya yaitu 5
b. $U_{n}\ =\ a\ +\ (n\ -\ 1)\ b\\ 5\ =\ 21\ +\ (n\ -\ 1)\ \left ( 17\ -\ 21 \right )\\ 5\ =\ 21\ +\ (n\ -\ 1)\ \left ( -4 \right )\\ 5\ =\ 21\ -\ 4n\ +\ 4\\ 5\ -\ 25\ =\ -4n\\ -20\ =\ -4n\\ n\ =\ 5$
Jadi, suku tengahnya adalah suku ke-5
2. Didalam sebuah gedung teater terdapat kursi yang diatur sebagai berikut. Baris pertama berisi 15 kursi, baris kedua 20 kursi, baris ketiga 25 kursi, dan seterusnya selisih 5 kursi dengan barisan yang didepannya.
a. Tentukan banyak kursi pada baris ke-6.
b. Baris ke berapa yang terisi 60 kursi?
Jawab
Aturan penempatan kursi membentuk barisan aritmetika dengan a = 15 dan b = 5.
a. $U_{n}\ =\ a\ +\ (n\ -\ 1)\ b\\ U_{6}\ =\ 15\ +\ (6\ -\ 1)\ 5\\ U_{6}\ =\ 15\ +\ 5\ \times \ 5\\ U_{6}\ =\ 15\ +\ 25\\ U_{6}\ =\ 40$
Jadi, banyak kursi pada baris ke-6 adalah 40
b. $U_{n}\ =\ 60\\U_{n}\ =\ a\ +\ (n\ -\ 1)\ b\\ 60\ =\ 15\ +\ (n\ -\ 1)\ 5\\ 60\ =\ 15\ +\ 5n\ -\ 5\\ 60\ =\ 10\ +\ 5n\\ 60\ -\ 10\ =\ 5n\\ 50\ =\ 5n\\ n\ =\ 10$
Jadi, baris yang berisi 60 kursi adalah baris ke-10
Deret Aritmetika
Carl Friedrick Gauss menentukan jumlah bilangan 1 – 100 dengan cara membalikkan bilangan tersebut kemudian menjumlahkannya. Hasil penjumlahannya dikalikan dengan banyak bilangan lalu dibagi dengan 2.
Deret Aritmetika adalah penjumlahan berurut suku-suku suatu barisan aritmetika. Bentuk umum deret aritmetika yaitu $a\ +\ (a + b)\ +\ (a + 2b)\ +\ (a + 3b)\ +\ . . . \ +\ \left ( a+\left ( n-1 \right )b \right )$
Rumus jumlah n suku pertama
Jumlah n suku pertama deret aritmetika dinyatakan dengan $S_{n}$. Dengan notasi sigma $S_{n}$ dapat ditulis sebagai berikut:
Selanjutnya, akan dicari bentuk umum dengan menggunakan kaidah-kaidah notasi sigma:
Jadi, rumus jumlah n suku pertama deret aritmetika yaitu:
Rumus jumlah n suku pertama deret aritmetika jika $U_{n}$ yang diketahui adalah:
Rumus Suku ke-n jika $S_{n}$ yang diketahui yaitu:
Contoh Soal
1. Hitunglah jumlah 10 suku pertama deret aritmetika 2 + 4 + 6 + ...
Jawab
Suku pertama yaitu a = 2
Beda yaitu b = 4 – 2 = 2
n = 10
$S_{n}\ =\ \frac{n}{2}\left ( 2a\ +\ \left ( n-1 \right )b \right )\\ S_{10}\ =\ \frac{10}{2}\left ( 2\times 2\ +\ \left ( 10-1 \right )2 \right )\\ S_{10}\ =\ 5\left ( 4\ +\ 9\times 2 \right )\\ S_{10}\ =\ 5\left ( 4\ +\ 18 \right )\\ S_{10}\ =\ 5\left ( 22 \right )\\ S_{10}\ =\ 110$
2. Diketahui $U_{n}\ =\ 5\ -\ 3n$, hitunglah $S_{20}$
Jawab
$U_{1}$ = a = 5 – 3 . 1 = 5 – 3 = 2
$U_{2}$ = 5 – 3 . 2 = 5 – 6 = –1
b = $U_{2}$ − $U_{1}$ = – 1 – 2 = – 3
$S_{n}\ =\ \frac{n}{2}\left ( 2a\ +\ \left ( n-1 \right )b \right )\\ S_{20}\ =\ \frac{20}{2}\left ( 2\times 2\ +\ \left ( 20-1 \right )-3 \right )\\ S_{20}\ =\ 10\left ( 4\ +\ 19\times -3 \right )\\ S_{20}\ =\ 10\left ( 4\ -\ 57 \right )\\ S_{20}\ =\ 10\left ( -53 \right )\\ S_{20}\ =\ -530$
3. Sebuah usaha konveksi memproduksi seragam siswa SMA. Pada awal produksi menghasilkan 200 potong. Atas permintaan pasar, produksi bertambah 50 potong setiap bulannya. Jika produksi dimulai pada bulan Mei 2014, berapa jumlah produksi sampai dengan bulan April 2015?
Jawab
Jumlah seragam yang diproduksi setiap bulan membentuk barisan aritmetika dengan a = 200 dan b = 50.
$U_{1}$ = produksi pada bulan Mei 2014 = 200
$U_{2}$ = produksi pada bulan Juni 2014 = 250
.
.
.
$U_{12}$ = produksi pada bulan April 2015
Jumlah produksi sampai dengan April 2015 = $S_{12}$
$S_{n}\ =\ \frac{n}{2}\left ( 2a\ +\ \left ( n-1 \right )b \right )\\ S_{12}\ =\ \frac{12}{2}\left ( 2\times 200\ +\ \left ( 12-1 \right )50 \right )\\ S_{12}\ =\ 6\left ( 400\ +\ 11\times 50 \right )\\ S_{12}\ =\ 6\left ( 400\ +\ 550 \right )\\ S_{12}\ =\ 6\left ( 950 \right )\\ S_{12}\ =\ 5.700$
Jadi, jumlah produksi sampai dengan April 2015 sebanyak 5.700 potong.
4. Seorang pegawai menabung pada sebuah bank. Tahun pertama, setiap bulannya ia menabung Rp100.000,00. Tahun kedua, setiap bulannya ia menabung Rp125.000,00. Tahun ketiga, setiap bulannya ia menabung Rp150.000, dan seterusnya setiap tahun bertambah Rp25.000,00 per bulannya. Berapa jumlah uang pegawai itu setelah ditabungnya 15 tahun (bunga yang di bank tidak ikut diperhitungkan)?
Jawab
Tabungan perbulan pada tahun pertama = Rp100.000,00
Tabungan perbulan pada tahun kedua = Rp125.000,00
Tahun berikutnya bertambah Rp25.000 perbulan
Jadi,
$U_{1}$ = tabungan pada tahun pertama = Rp100.000 x 12 = Rp1.200.000,00
$U_{2}$ = tabungan pada tahun kedua = Rp125.000 x 12 = Rp1.500.000,00
$U_{3}$ = tabungan pada tahun ketiga = Rp150.000 x 12 = Rp1.800.000,00
.
.
.
$U_{15}$ = tabungan pada tahun kelima belas
Beda = Rp1.800.000,00 − Rp1.500.000,00 = Rp300.000,00
Jumlah tabungan sampai pada tahun kelima belas = $S_{15}$
$S_{n}\ =\ \frac{n}{2}\left ( 2a\ +\ \left ( n-1 \right )b \right )\\ S_{15}\ =\ \frac{15}{2}\left ( 2\times 1.200.000\ +\ \left ( 15-1 \right )300.000 \right )\\ S_{15}\ =\ \frac{15}{2}\left ( 2.400.000\ +\ 14\times 300.000 \right )\\ S_{15}\ =\ \frac{15}{2}\left ( 2.400.000\ +\ 4.200.000 \right )\\ S_{15}\ =\ \frac{15}{2}\left ( 6.600.000 \right )\\ S_{15}\ =\ \frac{99.000.000}{2}\\ S_{15}\ =\ 49.500.000$
Jadi, jumlah uang pegawai itu setelah ditabungnya 15 tahun adalah Rp49.500.000,00
Bagaimana teman-teman? mudahkan?? Baiklah, sekarang kita lanjut ke materi berikutnya yaitu mengenai barisan dan deret geometri.
Barisan Geometri
Perhatikan masalah berikut!
Dalam menghadapi suatu situasi tertentu komandan teritorial memberikan perintah kepada 15 orang komandan sektor, yang masing-masing meneruskan lagi kepada 15 orang komandan pasukan. Tiap-tiap komandan pasukan juga meneruskan kepada 15 orang komandan regu. Tiap komandan regu meneruskan kepada anggota regunya yang jumlahnya masing-masing juga 15 orang. Berapakah orangkah yang mengetahui tentang perintah itu?
Masalah tersebut akan mudah dihitung apabila menggunakan barisan dan deret. Orang-orang yang mengetahui perintah itu dapat disusun menjadi suatu barisan bilangan berikut:
1, 1(15), (1)(15)(15), (1)(15)(15)(15), 1(15)(15)(15)(15), . . .
Barisan diatas dinamakan barisan geometri karena masing-masing bilangan diperoleh dengan mengalikan bilangan tertentu ke bilangan sebelumnya untuk memperoleh suku berikutnya.
Jadi, barisan geometri adalah barisan dengan perbandingan atau rasio antara dua suku yang berurutan tetap. Suku pertama barisan geometri dinotasikan dengan a. Rasio atau pembanding dinyatakan dengan r. Bentuk Umum yaitu $a,\ ar,\ ar^{2},\ ar^{3},\ ar^{4},\ ...$
Misalkan
- Barisan geometri dengan a = 8 dan r = 2 adalah 8, 16, 32, 64, 128, ...
- Barisan geometri dengan a = 10 dan r = $\frac{1}{2}$ adalah 10, 5, 2$\frac{1}{2}$, ...
- Barisan geometri dengan a = 4 dan r = -2 adalah 4, -8, 16, -32, ...
Rumus suku ke-n
Perhatikan kembali bentuk barisan geometri:
$a,\ ar,\ ar^{2},\ ar^{3},\ ar^{4},\ ...$
Suku ke-1 = $U_{1}$ = $a$ = $ar^{0}$ = $ar^{1-1}$
Suku ke-2 = $U_{2}$ = $U_{1}r$ = $ar^{1}$ = $ar^{2-1}$
Suku ke-3 = $U_{3}$ = $U_{2}r$ = $ar^{2}$ = $ar^{3-1}$
Suku ke-4 = $U_{4}$ = $U_{3}r$ = $ar^{3}$ = $ar^{4-1}$
.
.
.
Suku ke-n = $U_{n}$ = $U_{n-1}r$ = $ar^{n-1}$
Dengan pola seperti di atas, maka dapat diperoleh rumus suku ke-n barisan geometri yaitu:
$r$ ditentukan dengan rumus:
Tanda dari a (suku pertama) dan r (rasio) akan mempengaruhi pula tanda suku-suku barisan tersebut.
- a > 0 dan r > 1 maka barisan naik, suku-sukunya positif
- a > 0 dan 0 < r < 1 maka barisan turun, suku-sukunya positif
- a < 0 dan r > 1 maka barisan turun, suku-sukunya negatif
- a < 0 dan 0 < r < 1 maka barisan naik, suku-sukunya negatif
- -1 < r < 0 maka barisan turun, suku-sukunya bergantian positif dan negatif
- r < -1 maka barisan naik, suku-sukunya bergantian positif dan negatif
Contoh Soal
1. Diketahui suatu barisan geometri dengan $a$ = 1 dan $U_{7}$ = 64. Tentukan $U_{10}$.
Jawab
$U_{7}$ = 64; $a$ = 1
$U_{n}\ =\ ar^{n-1}\\ U_{7}\ =\ 1\ \times \ r^{7-1}\\ 64\ =\ 1\ \times \ r^{6}\\ r^{6}\ =\ 64\\ r\ =\ \sqrt[6]{64}\\ r\ =\ \sqrt[6]{2^{6}}\\ r\ =\ 2$
Suku ke-10 = $U_{10}$ = $ar^{9}$ = $1\ \times \ 2^{9}$ = $512$
Jadi, suku ke-10 barisan tersebut adalah 512.
2. Pada awal tahun, penduduk suatu kota adalah 15.000 orang. Setiap awal tahun, jumlah penduduk kota tersebut tetap dihitung. Karena kelahiran dan urbanisasi penduduk, setiap tahunnya jumlah penduduk bertambah 5% dari tahun sebelumnya. Tentukan jumlah penduduk pada awal tahun ke-10!
Jawab
Penduduk pada awal tahun pertama adalah $U_{1}$ = $a$ = 15.000
Jika proses ini dilanjutkan maka akan diperoleh:
$U_{n}\ =\ 15.000\ \left ( 1\ + \frac{5}{100} \right )^{n-1}$
Dengan demikian jumlah penduduk pada awal tahun ke-10 adalah:
Jadi, jumlah penduduk pada awal tahun ke-10 adalah 23.270 orang
Suku Tengah
Suku tengah suatu barisan geometri adalah suku barisan yang letaknya di tengah-tengah jika banyak sukunya ganjil. Misal barisan geometri dengan suku tengah , sehingga banyaknya suku $(2k – 1)$, maka barisan itu dapat dituliskan sebagai
.
Suku tengah barisan geometri ditentukan dengan rumus:
Sisipan
Misal diberikan dua bilangan x dan y (x ≠ y), kemudian di antara kedua bilangan tersebut disisipkan k bilangan sehingga membentuk barisan geometri.
Maka rasio r dari barisan geometri tersebut dapat ditentukan sebagai berikut:
Jadi, rasio barisan geometri yang terbentuk adalah:
Deret Geometri
Telah kita ketahui pada penjelasan sebelumnya bahwa orang-orang yang mendapat perintah komandan teritorial membentuk suatu barisan geometri. Oleh karena itu, untuk menentukan banyaknya orang yang mendapat perintah, dapat lebih mudah dihitung jika digunakan rumus penjumlahan deret geometri.
Deret Geometri adalah penjumlahan berurut suku-suku suatu barisan geometri. Bentuk Umumnya yaitu $a\ +\ ar\ +\ ar^{2}\ +\ ar^{3}\ +\ ar^{4}\ +\ ...$
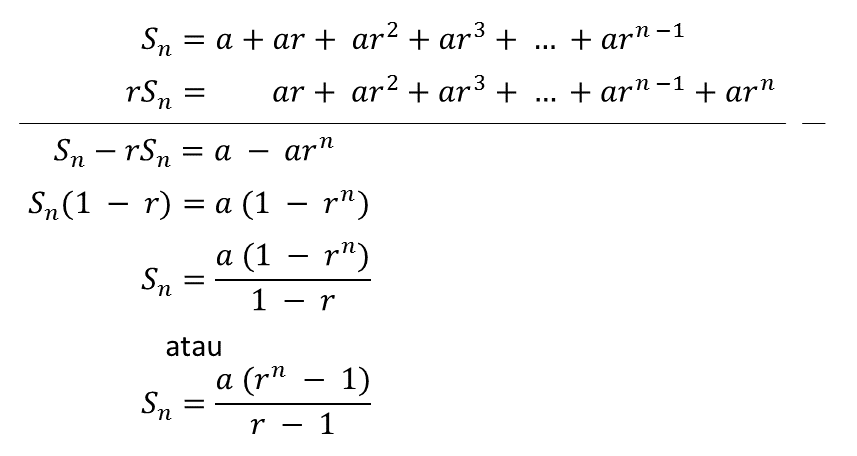
Rumus jumlah n suku pertama
Rumus jumlah n suku pertama deret geometri, ditemukan oleh Carl Friedrick Gauss (matematikawan Jerman 1777-1855) sebagai berikut.
Jadi, jumlah n suku pertama deret geometri dinyatakan dengan $S_{n}$, ditentukan dengan rumus:
atau
Selanjutnya kita dapat menghitung banyaknya orang yang melaksanakan perintah komandan teritorial tersebut. Komandan teritorial sebagai suku pertama, $a$ = 1. Komandan sektor ada 15 orang, jadi $U_{2}$ = 15. Masing-masing komandan sektor meneruskan kepada 15 komandan pasukan berarti $U_{3}$ = 15 x 15 dan seterusnya sampai pada anggota regu.
Jadi deret yang terjadi adalah:
$1\ +\ 15\ +\ 15\ .\ 15\ +\ 15\ .\ 15\ .\ 15\ +\ 15\ .\ 15\ .\ 15\ .\ 15$
Dari deret di atas, diperoleh $a$ = 1, $r$ = 15, dan $n$ = 5, sehingga
$S_{n}\ =\ \frac{a\left ( r^{n}-1 \right )}{r-1}$
$S_{5}\ =\ \frac{1\left ( 15^{5}-1 \right )}{15-1}$
$S_{5}\ =\ 54.241$
Jadi, banyak orang yang mengetahui perintah itu adalah 54.241 orang.
Contoh Soal
1. Diketahui deret geometri $2\ +\ 1\ +\ \frac{1}{2}\ +\ \frac{1}{4}\ +\ ...$ Tentukan
a. rasio
b. suku ke-10
c. jumlah 10 suku pertama
Jawab
a. Rasio
$r\ =\ \frac{U_{n}}{U_{n-1}}\\ r\ =\ \frac{U_{2}}{U_{1}}\\ r\ =\ \frac{1}{2}$
b. suku ke-10
$U_{n}\ =\ ar^{n-1}\\ U_{10}\ =\ ar^{10-1}\\ U_{10}\ =\ 2\ \times \ \left ( \frac{1}{2} \right )^{9}\\ U_{10}\ =\ 2\ \times \ \frac{1}{512}\\ U_{10}\ =\ \frac{1}{256}$
c. jumlah 10 suku pertama
$S_{n}\ =\ \frac{a\left ( 1-r^{n} \right )}{1-r}\\ S_{10}\ =\ \frac{2\left ( 1-\left ( \frac{1}{2} \right )^{10} \right )}{1-\frac{1}{2}}\\ S_{10}\ =\ \frac{2\left ( 1-\frac{1}{1.024} \right )}{\frac{1}{2}}\\ S_{10}\ =\ 2\left ( \frac{1.023}{1.024} \right )\ \times \ 2\\ S_{10}\ =\ \frac{2.046}{1.024}\ \times \ 2\\ S_{10}\ =\ 3,996$
2. Dalam suatu n suku deret geometri $U_{1}\ +\ U_{2}\ =\ 4$, $U_{n-1}\ +\ U_{n}\ =\ 108$ dan $S_{n}\ =\ 121$. Tentukan nilai $a$, $r$, dan $n$.
Jawab
$U_{1}\ +\ U_{2}\ =\ 4\\ a\ +\ ar\ =\ 4\\ a\left ( 1\ +\ r \right )\ =\ 4$
$a\ =\ \frac{4}{1\ +\ r }$ Persamaan (I)
$U_{n-1}\ +\ U_{n}\ =\ 108\\ ar^{n-2}\ +\ ar^{n-1}\ =\ 108$
$ar^{n-2}\left ( 1\ +\ r \right )\ =\ 108$ Persamaan (II)
Substitusi persamaan (i) ke persamaan (ii)
$ar^{n-2}\left ( 1\ +\ r \right )\ =\ 108\\ \left ( \frac{4}{1\ +\ r} \right )r^{n-2}\left ( 1\ +\ r \right )\ =\ 108\\ \frac{4r^{n-2}\left ( 1\ +\ r \right )}{1\ +\ r}\ =\ 108\\ 4r^{n-2}\ =\ 108\\ r^{n-2}\ =\ \frac{108}{4}\\ \frac{r^{n}}{r^{2}}\ =\ 27$
$r^{n}\ = 27r^{2}$ Persamaan (III)
Substitusi persamaan (i) dan persamaan (iii) ke rumus $S_{n}$
$S_{n}\ =\ \frac{a\left ( r^{n}-1 \right )}{r-1}\\ 121\ =\ \frac{\frac{4}{1\ +\ r }\left ( 27r^{2}-1 \right )}{r-1}\\ 121\ =\ \frac{\left ( \frac{108r^{2}-4}{1\ +\ r } \right )}{r-1}\\ 121r\ -\ 121\ =\ \frac{108r^{2}-4}{1\ +\ r }\\ \left ( 121r\ -\ 121 \right )\left ( 1\ +\ r \right ) =\ 108r^{2}-4\\ 121r^{2}\ -\ 121\ =\ 108r^{2}-4\\ 121r^{2}\ -\ 121\ +\ 4\ =\ 108r^{2}\\ 121r^{2}\ -\ 117\ =\ 108r^{2}\\ 121r^{2}\ =\ 108r^{2}\ +\ 117\\ 121r^{2}\ -\ 108r^{2}\ =\ 117\\ 13r^{2}\ =\ 117\\ r^{2}\ =\ \frac{117}{13}\\ r^{2}\ =\ 9\\ r\ =\ 3$
Karena $r^{n}\ = 27r^{2}$, maka:
$r^{n}\ = 27\left ( 3 \right )^{2}\\ r^{n}\ = \left ( 3 \right )^{3}\left ( 3 \right )^{2}\\ r^{n}\ = \left ( 3 \right )^{5}\\ n\ =\ 5$
Nilai a adalah:
$a\ =\ \frac{4}{1\ +\ r}\\ a\ =\ \frac{4}{1\ +\ 3}\\ a\ =\ \frac{4}{4}\ =\ 1$
Jadi, nilai $a\ =\ 1$, $r\ =\ 3$ dan $n\ =\ 5$.
3. Dari sebuah deret geometri diketahui $U_{6}$ = 64 dan $U_{8}$ = $2^{10}$. Hitunglah jumlah enam suku pertama deret tersebut.
Jawab
$U_{8}\ =\ ar^{7}\ =\ 2^{10}$
$U_{6}\ =\ ar^{5}\ =\ 64\ =\ 2^{6}$
sehingga
$\frac{U_{8}}{U_{6}}\ =\ \frac{ar^{7}}{ar^{5}}\ =\ \frac{2^{10}}{2^{6}}$
$ \Leftrightarrow \ r^{2}\ =\ 2^{4}$
$ \Leftrightarrow \ r\ =\ \pm \ 2^{2}\ =\ \pm \ 4$
- Jika $r\ =\ 4$, maka
$ar^{5}\ =\ 64$
$a4^{5}\ =\ 4^{3}$
$ \Leftrightarrow \ a\ =\ \frac{4^{3}}{4^{5}}$
$ \Leftrightarrow \ a\ =\ \frac{1}{16}$ - Jika $r\ =\ -4$, maka
$ar^{5}\ =\ 64$
$a\left ( -4 \right )^{5}\ =\ 4^{3}$
$ \Leftrightarrow \ a\ =\ \frac{4^{3}}{\left ( -4 \right )^{5}}$
$ \Leftrightarrow \ a\ =\ -\frac{1}{16}$
Jadi, jumlah enam suku pertama deret tersebut adalah:
- Untuk $a\ =\ \frac{1}{16}$, $r\ =\ 4$, maka
$S_{n}\ =\ \frac{a\left ( r^{n}-1 \right )}{r-1}$
$S_{6}\ =\ \frac{\frac{1}{16}\left ( 4^{6}-1 \right )}{4-1}$
$S_{6}\ =\ \frac{4.095}{48}$
$S_{6}\ =\ 85,3125$ - Untuk $a\ =\ -\frac{1}{16}$, $r\ =\ -4$, maka
$S_{n}\ =\ \frac{a\left ( 1-r^{n} \right )}{1-r}$
$S_{6}\ =\ \frac{-\frac{1}{16}\left ( 1-\left ( -4 \right )^{6} \right )}{1-\left ( -4 \right )}$
$S_{6}\ =\ \frac{-4.095}{-80}$
$S_{6}\ =\ 51,1875$
4. Dalam sebuah deret $S_{n}\ =\ 2^{n}\ -\ 1$. Buktikan bahwa deret itu adalah deret geometri.
Jawab
Untuk memperlihatkan bahwa deret itu adalah deret geometri maka harus dicari dahulu suku ke-$n$.
$U_{n}\ =\ S_{n}\ -\ S_{n-1}$
$U_{n}\ =\ \left ( 2^{n}\ -\ 1 \right )\ -\ \left ( 2^{n-1}\ -\ 1\ \right )$
$U_{n}\ =\ 2^{n}\ -\ 1\ -\ 2^{n-1}\ +\ 1$
$U_{n}\ =\ 2^{n}\ -\ 2^{n-1}$
$U_{n}\ =\ 2^{n}\left ( 1\ -\ \frac{1}{2} \right )$
$U_{n}\ =\ 2^{n\ -\ 1}$
Selanjutnya harus dicari hasil bagi dua suku yang berturutan yaitu
$\frac{U_{n}}{U_{n-1}}\ =\ \frac{2^{n\ -\ 1}}{2^{n\ -\ 2}}$
$ \Leftrightarrow \ =\ \frac{2^{n\ -\ 1}}{2^{n\ -\ 1\ -\ 1}}$
$ \Leftrightarrow \ =\ 2$
Ternyata, hasil bagi dua suku yang berturutan merupakan suatu konstanta, tidak tergantung dari nilai $n$ maka deret tersebut merupakan deret geometri.
5. Seutas tali dipotong menjadi 6 bagian. Panjang keenam potong tali itu membentuk suatu deret geometri. Jika panjang potongan tali yang terpendek 3 cm dan terpanjang 96 cm, tentukan panjang tali semula.
Jawab
$U_{1}\ =\ a\ =\ 3$
$n\ =\ 6$
$U_{6}\ =\ 96\\ ar^{5}\ =\ 96\\ 3\ \times \ r^{5}\ =\ 96\\ r^{5}\ =\ \frac{96}{3}\\ r^{5}\ =\ 32\\ r\ =\ \sqrt[5]{32}\\ r\ =\ 2$
$S_{n}\ =\ \frac{a\left ( r^{n}-1 \right )}{r-1}\\ S_{6}\ =\ \frac{3\left ( 2^{6}-1 \right )}{2-1}\\ S_{6}\ =\ \frac{3\left ( 64-1 \right )}{2-1}\\ S_{6}\ =\ \frac{3\ \times \ 63}{1}\\ S_{6}\ =\ 189$
Jadi, panjang tali semula adalah 189 cm
6. Suatu jenis mobil mengalami depresiasi (penurunan harga jual) sebesar 15% pada setiap akhir tahun. Jika harga mobil baru Rp150.000.000,00, berapakah harga jual mobil tersebut pada akhir tahun ke-6?
Jawab
$U_{6}\ =\ 150.000.000\left ( 1-\frac{15}{100} \right )^{6-1}\\ U_{6}\ =\ 150.000.000\left ( 1-\frac{15}{100} \right )^{5}\\ U_{6}\ =\ 150.000.000\left (\frac{100-15}{100} \right )^{5}\\ U_{6}\ =\ 150.000.000\left (\frac{85}{100} \right )^{5}\\ U_{6}\ =\ 150.000.000\left (0,85 \right )^{5}\\ U_{6}\ =\ 150.000.000\ \times \ 0,4437053125\\ U_{6}\ =\ 66.555.797$
Jadi, harga jual mobil tersebut pada akhir tahun ke-6 adalah Rp66.555.797,00
Materi selanjutnya yaitu tentang deret geometri tak hingga. Hanya saja materi ini sudah saya ulas pada artikel yang lain.
Untuk mempelajari materi Deret Geometri Tak Hingga silahkan kunjungi artikel berikut:
Soal dan Pembahasan
Berikut contoh soal dan pembahasan barisan dan deret aritmetika serta barisan dan deret geometri.
1. Suku ke-3 dan suku ke-8 suatu barisan aritmetika berturut-turut adalah 20 dan 40. Suku pertama dan beda dari barisan ini berturut-turut adalah...
Jawab
$U_{3}\ =\ 20$ dan $U_{8}\ =\ 40$
$U_{3}\ =\ a\ +\ (3\ -\ 1)\ b$
$20\ =\ a\ +\ 2b$
$a\ +\ 2b\ =\ 20$
$a\ =\ 20\ -\ 2b$ Persamaan (I)
$U_{8}\ =\ a\ +\ (8\ -\ 1)\ b$
$40\ =\ a\ +\ 7b$ Persamaan (II)
Substitusi persamaan (I) ke persamaan (II)
$40\ =\ a\ +\ 7b$
$40\ =\ 20\ -\ 2b\ +\ 7b$
$40\ =\ 20\ + 5b$
$20\ +\ 5b\ =\ 40$
$5b\ =\ 40\ -\ 20$
$5b\ =\ 20$
$b\ =\ \frac{20}{5}$
$b\ =\ 4$ (ini adalah nilai beda)
Sehingga $a\ =\ 20\ -\ 2b$
$ \Leftrightarrow \ a\ =\ 20\ -\ 2\ \times \ 4$
$ \Leftrightarrow \ a\ =\ 20\ -\ 8$
$ \Leftrightarrow \ a\ =\ 12$ (ini adalah nilai suku pertama)
Suku pertama dan beda dari barisan ini berturut-turut adalah 12 dan 4
2. Diketahui suku ke-3 suatu barisan aritmetika adalah 12, sedangkan jumlah suku ke-7 dan suku ke-8 adalah 69. Suku ke-11 barisan tersebut adalah...
Jawab
$U_{3}\ =\ 12$ dan $U_{7}\ +\ U_{8}\ =\ 69$
$U_{3}\ =\ a\ +\ (3\ -\ 1)\ b$
$ 12\ =\ a\ +\ 2b$
$ a\ +\ 2b\ =\ 12$
$ a\ =\ 12\ -\ 2b$ Persamaan (I)
$U_{7}\ +\ U_{8}\ =\ 69$
$ a\ +\ 6b\ +\ a\ +\ 7b\ =\ 69$
$ 2a\ +\ 13b\ =\ 69$ Persamaan (II)
Substitusi persamaan (I) ke persamaan (II)
$2a\ +\ 13b\ =\ 69$
$ 2\left ( 12\ -\ 2b \right )\ +\ 13b\ =\ 69$
$ 24\ -\ 4b\ + 13b\ =\ 69$
$ 24\ +\ 9b\ =\ 69$
$ 9b\ =\ 69\ -\ 24$
$ 9b\ =\ 45$
$ b\ =\ 5$
Sehingga, $ a\ =\ 12\ -\ 2b$
$\Leftrightarrow \ a\ =\ 12\ -\ 2\ \times \ 5$
$ \Leftrightarrow \ a\ =\ 12\ -\ 10$
$ \Leftrightarrow \ a\ =\ 2$
Jadi, $U_{11}\ =\ a\ +\ (11\ -\ 1)\ b$
$ U_{11}\ =\ 2\ +\ 10\ \times \ 5$
$ U_{11}\ =\ 2\ +\ 50$
$ U_{11}\ =\ 52$
Suku ke-11 barisan tersebut adalah 52
3. Seutas tali dipotong 5 bagian dengan panjang masing-masing bagian membentuk barisan aritmetika. Bila tali yang terpendek adalah 4 cm dan tali yang terpanjang 108 cm, maka panjang tali semula adalah...
Jawab
$n\ =\ 5$, $U_{1}\ =\ a\ =\ 4$, $U_{5}\ =\ 108$
Cari dulu nilai $b$ dengan memanfaatkan nilai $U_{5}\ =\ 108$
$U_{5}\ =\ a\ +\ (5\ -\ 1)\ b$
$ 108\ =\ 4\ +\ 4b$
$ 4\ +\ 4b\ =\ 108$
$ 4b\ =\ 108\ -\ 4$
$ 4b\ =\ 104$
$ b\ =\ \frac{104}{4}$
$ b\ =\ 26$
Hitunglah panjang tali menggunakan rumus deret aritmetika
$S_{n}\ =\ \frac{n}{2}\left ( 2a\ +\ \left ( n-1 \right )b \right )$
$ S_{5}\ =\ \frac{5}{2}\left ( 2\ \times \ 4\ +\ \left ( 5-1 \right )26 \right )$
$ S_{5}\ =\ \frac{5}{2}\left ( 8\ +\ 4\ \times \ 26 \right )$
$ S_{5}\ =\ \frac{5}{2}\left ( 8\ +\ 104 \right )$
$ S_{5}\ =\ \frac{5}{2}\left ( 112 \right )$
$ S_{5}\ =\ \frac{560}{2}$
$ S_{5}\ =\ 280$
Jadi, panjang tali semula adalah 280 cm
4. Dari suatu deret geometri diketahui $U_{8}\ =\ 36$ dan $S_{7}\ =\ 52$, maka $S_{8}$ adalah...
Jawab
$S_{8}\ =\ S_{7}\ +\ U_{8}$
$ S_{8}\ =\ 52\ +\ 36$
$ S_{8}\ =\ 88$
Jadi, $S_{8}\ =\ 88$
5. Diketahui barisan geometri dengan suku ke-6 adalah 486 dan suku ke-3 adalah 18. Jumlah lima suku pertama deret yang bersesuaian adalah...
Jawab
$U_{3}\ =\ 18$ dan $U_{6}\ =\ 486$
$U_{n}\ =\ ar^{n-1}$
$ U_{3}\ =\ ar^{3-1}$
$ 18\ =\ ar^{2}$
$ ar^{2}\ =\ 18$
$ a\ =\ \frac{18}{r^{2}}$ Persamaan (I)
$U_{n}\ =\ ar^{n-1}$
$ U_{6}\ =\ ar^{6-1}$
$ 486\ =\ ar^{5}$
$ ar^{5}\ =\ 486$ Persamaan (II)
Substitusi persamaan (I) ke persamaan (II)
$ ar^{5}\ =\ 486$
$ \frac{18}{r^{2}}\ r^{5}\ =\ 486$
$ \frac{r^{5}}{r^{2}}\ 18\ =\ 486$ kedua sisi : 18
$ \frac{r^{5}}{r^{2}}=\ 27$
$ r^{5-2}\ =\ 27$
$ r^{3}\ =\ 27$
$ r\ =\ \sqrt[3]{27}$
$ r\ =\ 3$
Sehingga $ a\ =\ \frac{18}{r^{2}}$
$\Leftrightarrow \ a\ =\ \frac{18}{3^{2}}$
$ \Leftrightarrow \ a\ =\ \frac{18}{9}$
$ \Leftrightarrow \ a\ =\ 2$
Kita lanjutkan dengan mencari jumlah lima suku pertama
$S_{n}\ =\ \frac{a\left ( r^{n}-1 \right )}{r-1}$
$ S_{5}\ =\ \frac{2\left ( 3^{5}-1 \right )}{3-1}$
$ S_{5}\ =\ \frac{2\left ( 243-1 \right )}{2}$
$ S_{5}\ =\ \frac{2\left ( 242 \right )}{2}$
$ S_{5}\ =\ \frac{484}{2}$
$ S_{5}\ =\ 242$
6. Suku ke-$n$ suatu barisan aritmetika adalah $U_{n}\ =\ 5\ -\ 3n$. Jumlah 16 suku pertama adalah...
Jawab
Mula-mula carilah nilai $U_{1}\ =\ a$
$U_{1}\ =\ 5\ -\ 3\ \times \ 1$
$ U_{1}\ =\ 5\ -\ 3$
$ U_{1}\ =\ 2$
Kemudian tentukan nilai $U_{2}$
$U_{2}\ =\ 5\ -\ 3\ \times \ 2$
$ U_{2}\ =\ 5\ -\ 6$
$ U_{2}\ =\ -1$
Lalu hitung selisih antara nilai $U_{1}$ dan $U_{2}$
$b\ =\ U_{2}\ -\ U_{1}\ =\ -1\ -\ 2\ =\ -3$
Nilai di atas masukkan ke rumus deret aritmetika dengan $n\ =\ 16$
$S_{n}\ =\ \frac{n}{2}\left ( 2a\ +\ \left ( n-1 \right )b \right )$
$ S_{16}\ =\ \frac{16}{2}\left ( 2\ \times \ 2\ +\ \left ( 16-1 \right )\left ( -3 \right ) \right )$
$ S_{16}\ =\ 8\left ( 4\ +\ \left ( 15 \right )\left ( -3 \right ) \right )$
$ S_{16}\ =\ 8\left ( 4\ +\ \left ( -45 \right ) \right )$
$ S_{16}\ =\ 8\left ( -41 \right )$
$ S_{16}\ =\ -328$
Jadi, jumlah 16 suku pertama adalah -328
7. Jumlah semua bilangan bulat antara 1 dan 200 yang habis dibagi 7 adalah...
Jawab
Bilangan yang habis dibagi 7 sama artinya dengan bilangan kelipatan 7. Bilangan kelipatan 7 antara 1 sampai 200 yaitu 7, 14, 21, 28, 35, 42, 49, 56, 63, 70, 77, 84, 91, 98, 105, 112, 119, 126, 133, 140, 147, 154, 161, 168, 175, 182, 189, 196
Bisa disimpulkan dari barisan kelipatan 7 di atas yaitu $U_{1}\ =\ a\ =\ 7$, $b\ =\ 7$, dan $n\ =\ 28$
Jumlah barisan bilangan di atas yaitu
$S_{28}\ =\ \frac{28}{2}\left ( 2\ \times \ 7\ +\ \left ( 28-1 \right )7 \right )$
$ S_{28}\ =\ 14\left ( 14\ +\ \left ( 27 \right )7 \right )$
$ S_{28}\ =\ 14\left ( 14\ +\ 189 \right )$
$ S_{28}\ =\ 14\left ( 203 \right )$
$ S_{28}\ =\ 2.842$
Jadi, jumlah bilangan yang habis dibagi oleh 7 antara 1 - 200 adalah 2.842
8. Sebatang kawat dipotong menjadi 5 bagian sehingga potongan-potongannya membentuk barisan geometri. Jika panjang potongan ketiga 4,5 m dan potongan terpanjang 10,125 m, tentukan panjang kawat sebelum dipotong.
Jawab
$U_{3}\ =\ 4,5$
$ \Rightarrow \ ar^{2}\ = 4,5$
$ \Rightarrow \ ar^{2}\ = \frac{9}{2}$
$U_{5}\ =\ 10,125$
$ \Rightarrow \ ar^{4}\ = 10,125$
$ \Rightarrow \ ar^{4}\ = \frac{81}{8}$
Kita lanjutkan dengan menghitung nilai rasio ($r$)
$\frac{ar^{4}}{ar^{2}}\ =\ \frac{\frac{81}{8}}{\frac{9}{2}}$
$ \Leftrightarrow \ \frac{r^{4}}{r^{2}}\ =\ \frac{81}{8}\ \div \ \frac{9}{2}$
$ \Leftrightarrow \ r^{4-2}\ =\ \frac{81}{8}\ \times \ \frac{2}{9}$
$ \Leftrightarrow \ r^{2}\ =\ \frac{9}{4}$
$ \Leftrightarrow \ r\ =\ \sqrt{\frac{9}{4}}$
$ \Leftrightarrow \ r\ =\ \pm \ \frac{3}{2}$
Oleh karena $U_{3}$ < $U_{5}$ berarti $r\ =\ \frac{3}{2}$
Dari nilai ini kita bisa menghitung nilai $a$
$ar^{2}\ = \frac{9}{2}$
$\Leftrightarrow \ a\left ( \frac{3}{2} \right )^{2}\ = \frac{9}{2}$
$\Leftrightarrow \ \frac{9a}{4}\ =\ \frac{9}{2}$
$\Leftrightarrow \ 18a\ =\ 36$
$\Leftrightarrow \ a\ =\ 2$
$S_{n}\ =\ \frac{a\left ( r^{n}-1 \right )}{r-1}$
$ S_{5}\ =\ \frac{2\left ( \left ( \frac{3}{2} \right )^{5}-1 \right )}{\frac{3}{2}-1}$
$ S_{5}\ =\ \frac{2\left ( \frac{3^{5}}{2^{5}}-1 \right )}{\frac{1}{2}}$
$ S_{5}\ =\ \frac{2\left ( \frac{3^{5}-2^{5}}{2^{5}} \right )}{\frac{1}{2}}$
$ S_{5}\ =\ \frac{2\left ( 3^{5}-2^{5} \right )}{2^{5}\ \times \ \frac{1}{2}}$
$ S_{5}\ =\ \frac{2\left ( 243-32 \right )}{2^{5}\ \times \ 2^{-1}}$
$ S_{5}\ =\ \frac{2\left ( 211 \right )}{2^{4}}$
$ S_{5}\ =\ \frac{422}{16}$
$ S_{5}\ =\ 26,375$
Jadi, panjang kawat sebelum dipotong yaitu 26,375 m
9. Tentukan rumus suku ke-$n$ barisan geometri berikut
a. 2, 4, 8, 16, ...
b. 81, 27, 9, 3, ...
Jawab
Inilah cara menentukan rumus suku ke-$n$ barisan geometri
$a\ =\ 2$
$r\ =\ \frac{U_{2}}{U_{1}}\ =\ \frac{4}{2}\ =\ 2$
$U_{n}\ =\ ar^{n-1}$
$ U_{n}\ =\ 2\ \times \ 2^{n-1}$
$ U_{n}\ =\ 2^{1+n-1}$
$ U_{n}\ =\ 2^{n}$$a\ =\ 81$
$r\ =\ \frac{U_{4}}{U_{3}}\ =\ \frac{3}{9}\ =\ \frac{1}{3}$
$U_{n}\ =\ ar^{n-1}$
$ U_{n}\ =\ 81\ \times \ \left ( \frac{1}{3} \right )^{n-1}$
$ U_{n}\ =\ 3^{4}\ \times \ \left ( 3^{-1} \right )^{n-1}$
$ U_{n}\ =\ 3^{4}\ \times \ 3^{-n+1}$
$ U_{n}\ =\ 3^{-n+1+4}$
$ U_{n}\ =\ 3^{-n+5}$
$ U_{n}\ =\ 3^{5-n}$
10. Suku ke-$n$ barisan aritmetika adalah $U_{n}\ =\ 6n\ +\ 4$. Di setiap antara 2 suku disisipkan 2 suku baru, sehingga terbentuk deret aritmetika. Jumlah $n$ suku pertama deret yang terjadi adalah...
Jawab
Dari rumus $U_{n}\ =\ 6n\ +\ 4$, bisa ditentukan $U_{1}$, $U_{2}$, $U_{3}$, $U_{3}$, ...
$U_{1}\ =\ a\ =\ 6\times 1\ +\ 4\ =\ 6\ + 4\ =\ 10$
$U_{2}\ =\ 6\times 2\ +\ 4\ =\ 12\ + 4\ =\ 16$
$U_{3}\ =\ 6\times 3\ +\ 4\ =\ 18\ + 4\ =\ 22$
Dari nilai suku-suku di atas, susunan barisan aritmetika mula-mula bisa ditulis 10, 16, 22, 28, 34, ...
Dari soal sudah dijelaskan bahwa diantara dua suku disisipkan 2 suku baru. Barisan bilangan baru yang terbentuk bisa ditulis seperti berikut:
$U_{1},\ \left ( U_{1}+b \right ),\ \left ( U_{1}+2b \right ),\ U_{2},\ \left ( U_{2}+b \right ),\ \left ( U_{2}+2b \right ),\ U_{3},\ ...$
atau
$10,\ \left ( 10+b \right ),\ \left ( 10+2b \right ),\ 16,\ \left ( 16+b \right ),\ \left ( 16+2b \right ),\ 22,\ ...$
Itu artinya $k\ =\ 2$. Sehingga beda barisan aritmetika yang baru adalah sebagai berikut.
$b\ =\ \frac{U_{2}\ -\ U_{1}}{k\ +\ 1}\\ b\ =\ \frac{16\ -\ 10}{2\ +\ 1}\\ b\ =\ \frac{6}{3}\\ b\ =\ 2$
Secara lengkapnya, susunan barisan aritmetika yang baru yaitu 10, 12, 14, 16, 18, 20, 22, 24, 26, 28, ...
Oleh karena $a\ =\ 10$ dan $b\ =\ 2$ maka jumlah $n$ suku pertama deret yang baru adalah
$S_{n}\ =\ \frac{n}{2}\left ( 2a\ +\ \left ( n-1 \right )b \right )$
$ S_{n}\ =\ \frac{n}{2}\left ( 2\times 10\ +\ \left ( n-1 \right )2 \right )$
$ S_{n}\ =\ \frac{n}{2}\left ( 20\ +\ 2n\ -\ 2 \right )$
$ S_{n}\ =\ \frac{n}{2}\left ( 2n\ -\ 18 \right )$
$ S_{n}\ =\ \frac{2n^{2}\ -\ 18n}{2}$
$ S_{n}\ =\ n^{2}\ -\ 9n$
Gimana teman-teman? mudahkah?? Bila masih ada kendala, mari mendiskusikannya melalui kolom komentar dibawah.
Demikian ulasan mengenai barisan dan deret aritmetika serta barisan dan deret geometri, semoga bermanfaat. Jangan lupa share kepada teman-teman yang lain.












